pg游戏电子模拟器

学校首页
  • 网站首页
  • 学院概况
    • 学院简介
    • 专业介绍
    • 现任领导
  • 党建工会
    • 党建
    • 工会
  • 教学管理
    • 教学工作
    • 专业建设
    • 教学项目
    • 技能竞赛
    • 教师发展
    • 实习实训
  • 学生工作
    • 学生管理
    • 奖贷资助
    • 团学工作
  • 招生就业
    • 招生信息
    • 招聘信息
    • 创新创业
    • 校友风采
    • 就业指导
  • 产教融合
  • 通知公告
  • 网站首页
  • 学院概况
    • 学院简介
    • 专业介绍
    • 现任领导
  • 党建工会
    • 党建
    • 工会
  • 教学管理
    • 教学工作
    • 专业建设
    • 教学项目
    • 技能竞赛
    • 教师发展
    • 实习实训
  • 学生工作
    • 学生管理
    • 奖贷资助
    • 团学工作
  • 招生就业
    • 招生信息
    • 招聘信息
    • 创新创业
    • 校友风采
    • 就业指导
  • 产教融合
  • 通知公告

学生工作

  • 学生管理
  • 奖贷资助
  • 团学工作

学生工作

迟到的“女神节”表白

发布日期:2022-03-09  浏览次数:

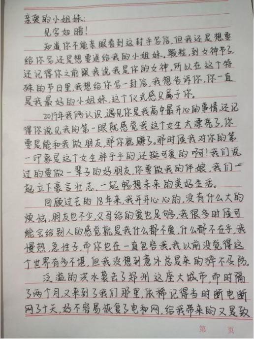
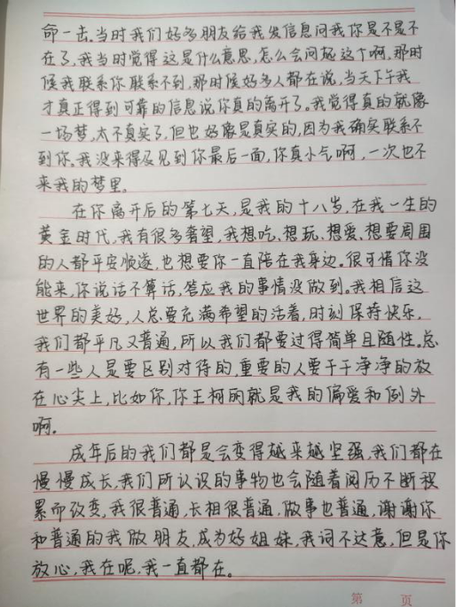
  “芳菲消息到,杏梢红”,在这春回大地、草长莺飞的季节里,“女神节”翩然而至,祝福是节日最美好的礼物,然而有些表白无法当面表达,有些感谢,都藏在字里行间。快来看看同学们给自己的女神们的“女神节”情书吧。

 

  

 

  

 

 

 

 

 

  应院的男生们也表达了对女神们深深地祝福和祝愿:

 

抖音视频链接:

版权所有:pg游戏电子模拟器pg游戏电子模拟器

地址:中国·河南·郑州市郑上路548号  邮编:467000